267批选139套!沙井星河荣御登记人名册公示,明日摇号
搜狐焦点深圳资讯 2022-04-20 14:00:23
用手机看
扫描到手机,新闻随时看
扫一扫,用手机看文章
更加方便分享给朋友
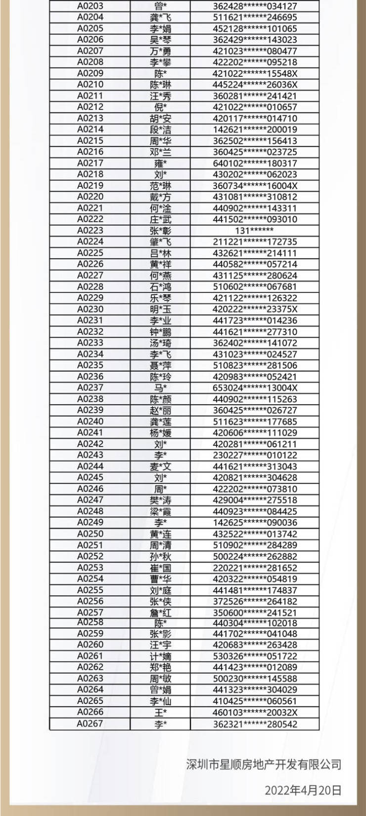
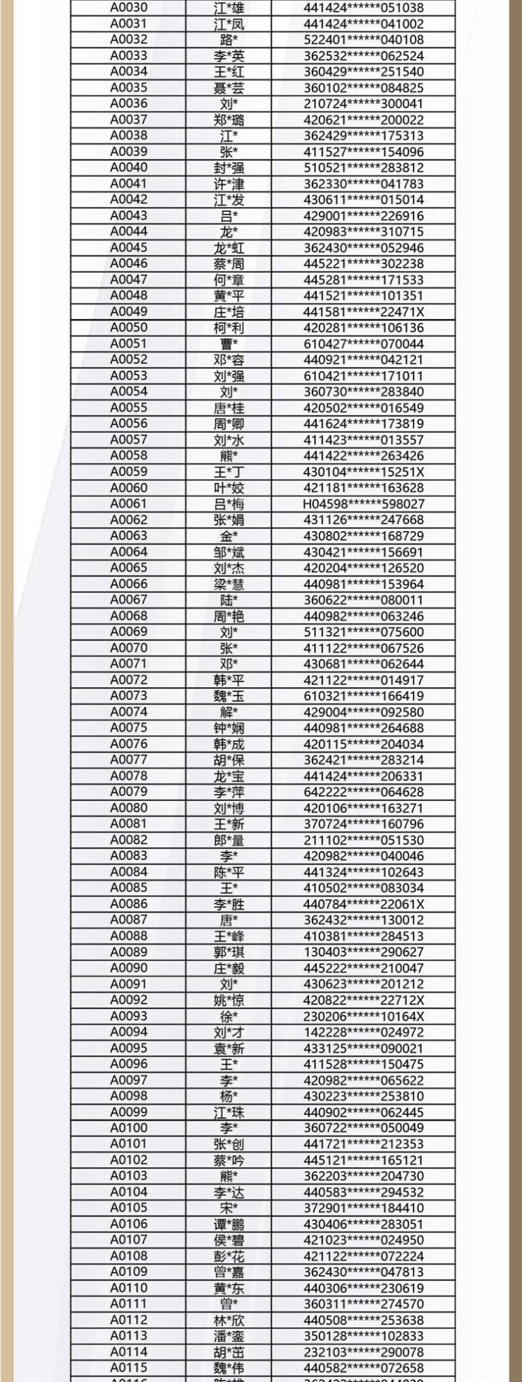
4月20日,沙井星河荣御登记人名册公示,267批客户成功意向登记,项目将于4月21日进行公证摇号。项目信息:项目位于宝安区沙井片区,沙井路与沙中路交汇处。自带约1.6万㎡商业街区及1万㎡集中商业。总房源约31…
4月20日,沙井星河荣御登记人名册公示,267批客户成功意向登记,项目将于4月21日进行公证摇号。
本次现售房源共139套,其中建筑面积约89平3房2厅2卫共21套、115㎡4房2厅2卫58套、125㎡的4房2厅2卫60套,价格区间为4.95万-5.37万/平,均为精装交付,今年11月交楼。
项目信息:
项目位于宝安区沙井片区,沙井路与沙中路交汇处。
项目总占地面积约5.8万㎡,总建面39万㎡,容积率4.94。自带约1.6万㎡商业街区及1万㎡集中商业。
项目规划有7栋住宅(含保障房),3栋商业楼(包括商务公寓和办公物业),以及1栋幼儿园。总房源约3198套。
户型分布图
附登记人名册:
来源:深圳房地产信息网
声明:本文由入驻焦点开放平台的作者撰写,除焦点官方账号外,观点仅代表作者本人,不代表焦点立场。


