捡漏!光明83套可售型人才房配售,均价约2.66万/㎡
扫描到手机,新闻随时看
扫一扫,用手机看文章
更加方便分享给朋友
光明可售型人才房悦见公园里剩余83套房源公开配售,线上申请认购时间为:2024年 6 月6日18:00至2024年 6 月12 日18:00。
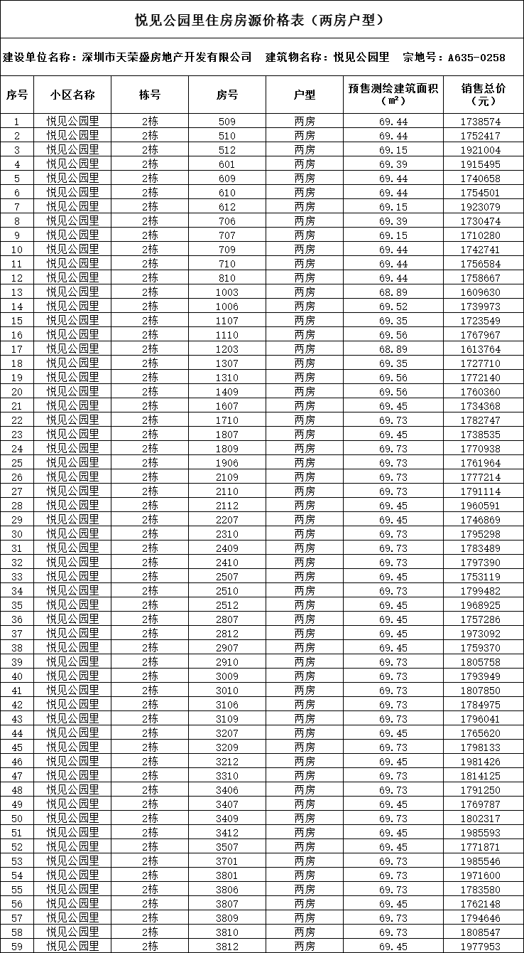
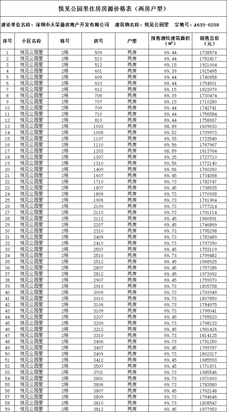
6月6日,光明住建局公示悦见公园里可售人才房住房配售公告,本次配售房源位于2栋01、02、03、05、06、07、08、09、10、11、12户型,共83套,其中:两房户型59套,建筑面积约69平方米;三房户型24套,建筑面积约88平方米。本项目配售均价为26610元/平方米(按建筑面积计算,不含室内装修)。本项目住宅塔楼为装配式建筑,交房标准见样板房和售房说明书,预计交付时间为2025年12月28日。

两房价格:

三房价格:

有意向的购房者可进入深圳市住房和建设局官方网站—政务服务—服务主题—住房保障服务—面向人才配售住房申请(“住房保障个人服务窗口”上方)填报申请信息,线上提交申请材料,同时签署诚信申报声明。认购申请家庭可在规定时间内登录信息平台提交人才住房认购申请并取得申请受理回执号。http://zjj.sz.gov.cn/ztfw/zfbz/?from=index
悦见公园里人才房于年初配售,共推出363套房源,终审合格家庭2082户,本批房源为剩余房源及后期退出房源。
悦见公园里位于光明松白路与红花中路交处东北侧,项目周边有宏发天汇城、福盈中央山等多个次新小区,周边生活配套丰富。
轨道方面,宏发悦见公园里属于地铁6号线及13号线(在建)双地铁物业,未来可便捷通达光明城高铁站、南山核心区;
商业方面,宏发悦见公园里自身配建约2.3万㎡商业,与项目一路之隔有大仟里购物中心。
此外,在宏发悦见公园里直线距离约500米范围内拥有光明区图书馆(红花山分馆)、红花山体育公园、红花山公园、公明广场等市政配套。
声明:本文由入驻焦点开放平台的作者撰写,除焦点官方账号外,观点仅代表作者本人,不代表焦点立场。


