首付44万起!光明363套人才房配售中,接下来还有....
扫描到手机,新闻随时看
扫一扫,用手机看文章
更加方便分享给朋友
2月26日,光明住建局发布悦见公园里人才房项目配售公告, 本批次配售房源共363套,其中:建筑面积约69㎡的两房户型为231套,建筑面积约88㎡的三房户型为132套,配售均价为26610元/㎡。本批房源线上申请认购时间为:2024年2月27日9:00至2024年3月7日18:00。

悦见公园里项目位于深圳市光明区公明街道振明路与宝来路交汇处南侧(近地铁6号线公明广场站),开发建设单位为深圳市天荣盛房地产开发有限公司,建设监管单位为深圳市光明区住房和建设局。

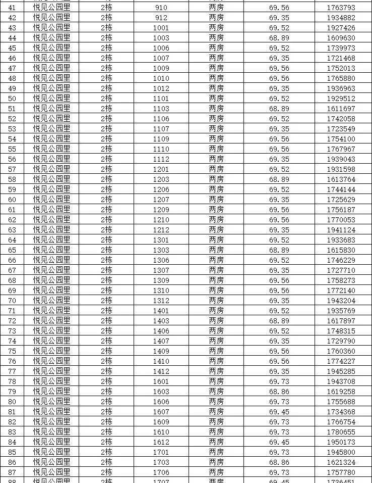
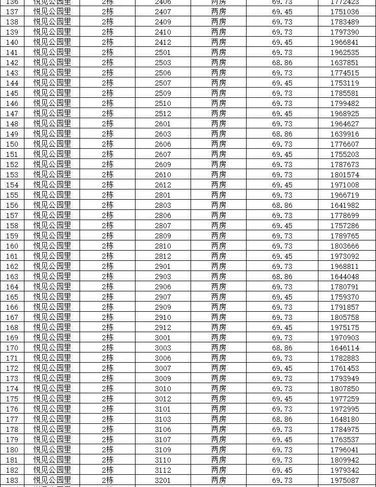
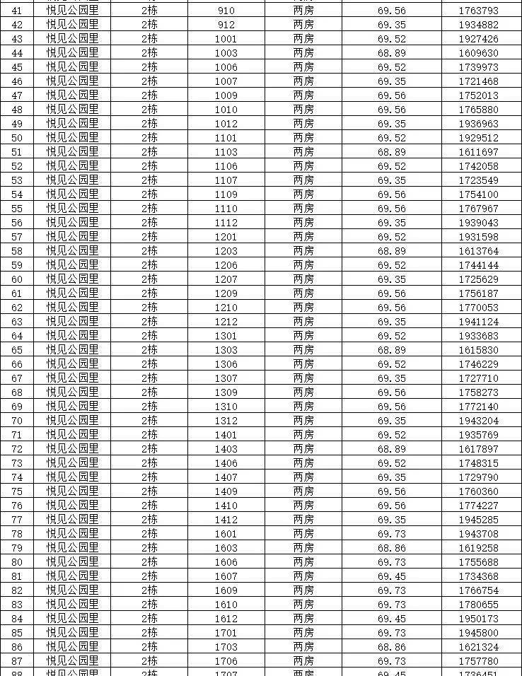
本次配售房源位于2栋01、02、03、05、06、07、08、09、10、11、12号房,共363套,其中:两房户型231套,建筑面积约69㎡;三房户型132套,建筑面积约88㎡。配售均价为26610元/㎡(按建筑面积计算)。预计交付时间为2025年12月28日。
两房总价约146.8-199.2万/套,首付约44万起,两房房源具体价格如下:
三房总价约215.8-260.6万/套,首付约65万起,三房房源具体价格如下:
悦见公园里位于光明松白路与红花中路交处东北侧,项目周边有宏发天汇城、福盈中央山等多个次新小区,周边生活配套丰富。
轨道方面,宏发悦见公园里属于地铁6号线及13号线(在建)双地铁物业,未来可便捷通达光明城高铁站、南山核心区;
商业方面,宏发悦见公园里自身配建约2.3万㎡商业,与项目一路之隔有大仟里购物中心。
此外,在宏发悦见公园里直线距离约500米范围内拥有光明区图书馆(红花山分馆)、红花山体育公园、红花山公园、公明广场等市政配套。
有意向认购的人才们可进入深圳市住房和建设局网站—政务服务—服务主题—住房保障服务—面向人才配售住房申请(“住房保障个人服务窗口”上方)填报申请信息,线上提交申请材料。
配售公告原文链接:http://www.szgm.gov.cn/gmzfhjsjcsgx/gkmlpt/content/11/11159/post_11159080.html#11184
1
一季度这些人才房计划配售
除了在配售的宏发悦见公园里,宝安的新城华苑已官宣预计3月中配建面约85㎡的纯3房,共576套房源,价格与上一批房源基本一致;位于南山的深铁熙府也爆料还有430套3房“回锅肉”预计也很快会有配售计划。
除了部分“返场”的人才房项目之外,2024年一季度官宣入市的天健和郡府,或也要加入今年首批配售“大礼包”当中。
还有去年12月招标开盘服务的8个项目(其中6个含可售型人才房),中标公司是“深圳市侨香地产顾问有限公司”,服务周期为一年,也就是说有部分项目可能在今年首批发车,也可能在后续,至少今年内肯定会发起配售。
此外,2023年所推的人才房剩余房源预计也会在上半年重新配售(常态化配售),合计约1731套房源。看看下表中除了深铁熙府,还有天健和瑞府、安居华樾龙苑等项目“回锅”。
2
今年14个人才房项目在路上
根据深圳规土委公示的存量宅地清单统计,未配售的人才房项目还有14个,其中福田、罗湖、宝安各有3个,坪山有2个项目。
其中,安居景贤阁已经封顶,梅香里楼体已经建成,预计会入市时间相对比较快。此外,上述表中,除了罗湖H105-0102宗地、宝安新桥两宗地项目信息暂不明朗外,其他项目在市场上的信息相对比较多。
来看看部分项目的信息。
🏡安居景贤阁
安居景贤阁或是福田首个入市的可售人才房项目,楼栋主体已经封顶,户型图也已经公示了。
项目位于莲花街道景田四街北侧、景田北街东侧,近天然居、翔名苑等小区,邻近地铁2号线香梅北站,以及2/9号线景田站。
安居景贤阁共规划150套房源,其中包括约65㎡2房(100套),80㎡3房(50套)。
值得一提的是,项目在土拍时竞价环节竞得需配建只租不售人才房面积约4000㎡,约占项目住宅总面积的1/3,也就是说,可配售的人才房房源量预计100套左右(具体配售数量以住建局配售公告为准)。
价格方面,项目在拍地时,规定可售人才房的销售均价不高于5.72万/㎡(毛坯),最高销售单价不高于6.1万/㎡。
左右滑动查看更多
🏡罗湖景福花园棚改
莲塘H227-0147项目为罗湖景福花园片区棚户区改造项目,项目位于国威路南侧,属于2号线莲塘站地铁口物业,与罗湖外国语初中学校(西校区)一路之隔。

项目建设用地约1.7万㎡,总建面约19万㎡,其中人才房建面约3万㎡(整体住宅建面约10.28万㎡),规划3栋54层超高层住宅及6班幼儿园。


景福花园位于地铁2号/8号线莲塘站A出口,属于地铁口物业,可便捷通往福田、南山等核心区域。
教育方面,项目配建一所6班幼儿园,周边教育资源较为丰富,有仙桐实验小学、罗湖莲塘小学、深圳市莲南小学、罗湖外语学校高中部、深圳罗湖外语初中学校等学校(具体入学划分以当年区教育局公示为准)。
另外,景福花园自带建面约1.5万㎡商业,还可借享周边临街商业满足日常生活所需。
🏡润珑苑
润珑苑位于光明凤凰街道,临近在建地铁13号线月亮路站。为什么要推荐它呢,因为它属于光明超级大盘润宏城的一部分。
要知道,润宏城整个项目占地约2平方公里,建筑面积约382万㎡,集轨道交通、优质教育、城市公园、创新产业、品质居住于一体。
润宏城规划有7大幼儿园、3大九年一贯制学校、约6万㎡特色商业,包括社区特色商业街区、公园潮流街区等,经地铁13号线(在建)一站到凤凰城也可享受万达广场、龙光蓝鲸的成熟商业。
地铁开通后,项目所处的位置相对优越。
即将入市的一期商品房项目-润宏城,占地约7万㎡,总建面约73万㎡。润珑苑的用地面积达3.47,相当于润宏城一期一半的规模,建成后估计能供应的可售型人才房套数预计2000+套。
🏡安居华越龙苑/中龙苑
去年最后一批人才房中,安居华越龙苑810套仅卖了不到300套,剩余500多套房源。
而与华越龙苑仅一街之隔的安居中龙苑,规划有765套3房产品,二者皆是龙华安居集团开发,更像是一二期的关系,因此猜测,大概率不会一起发车,不然海量供应,更容易发生“踩踏”。
先来看看华越龙苑。安居华越龙苑住宅总数为1305套,其中包含810套建面约84-90㎡的3房2卫,以及约360套119㎡4房2卫,约135套149㎡4房2卫等。
其中,3房有C1/C2两种,C1为84-90㎡户型,是竖厅设计,主卧客厅朝西南向;而C2为87-90㎡户型,是横厅设计,西南或东南朝向。配售均价约3.9万/㎡。
而安居中龙苑建成后可提供约1350套房,其中3房2卫户型765套,4房2卫户型585套,具体户型建面还未公示,但可参考华越龙苑,售价方面,毛坯均价不高于3.96万/㎡,最高售价不得高于4.16万/㎡。
三个“龙苑”预计供应人才房超4千多套,比宝安的新城华苑体量还要大。大社区意味着配套也更齐全,加上还是纯人才房项目,周边有60万㎡建面的壹方天地,以及轨道四期25/27号线的油福站、22/25号线的油松站、27号线银泉站等站点,配套及位置还是相对不错的。
🏡安居泰和苑
安居泰和苑在去年就做好了开盘的准备了,但目前还未备案,预计节后拿证入市的可能性也较大。
项目位于坪山马峦街道,紧挨着大山陂公园和坪山体育馆,目前距离已开通的地铁14号线锦龙站有1.2公里左右,出行相对没有那么便利。
项目由由4栋塔楼住宅和1栋幼儿园组成,可提供保障性住房843套,其中可售型人才房381套,保障性租赁住房462套,目前楼栋已封顶,预计于2024年11月毛坯交付。
根据规划显示,项目户型包括约65-70㎡的2房(90套),约80-88㎡的3房(291套),配售均价约2.49万/㎡。

🏡安居梓和苑
安居梓和苑这个项目大家可能有点印象,项目于去年9月份配售过1736套安居房,毛坯单价1.65万/㎡,目前安居房也处于公开配售阶段。
但项目是安居房+人才房的性质,共9栋房源,其中6栋为安居房,仅1、2、3栋为可售人才房。

据悉,人才房共计864套,其中包括288套2房,576套3房,户型面积暂未公布,人才房限售均价约1.98万/㎡。
安居梓和苑的人才房售价可以说是非常便宜了,这也跟项目的区位地段有关。项目位于坑梓片区,与14号线沙田站直线距离约700米,由于靠近惠州,整体的生活配套不够集中。
声明:本文由入驻焦点开放平台的作者撰写,除焦点官方账号外,观点仅代表作者本人,不代表焦点立场。


